关注我们

微信号:esnaicom

中国会计视野
[]金币中心|设首页|收藏|Eng|XBRL中国|可做?|帮助|         手机版
首页 图片新闻 国内行业资讯 行业评论 税务资讯 会计信息化 海外财会动态 财经要闻 企业动态 往日头条 专题列表 
您的位置:首页资讯国内行业资讯正文
 

北京注协公示2022会计所业务收入前百家信息

来源:中国会计视野   发布时间:2023-07-22  作者:视野   编辑:cljmy

打印   RSS 字号:|| 
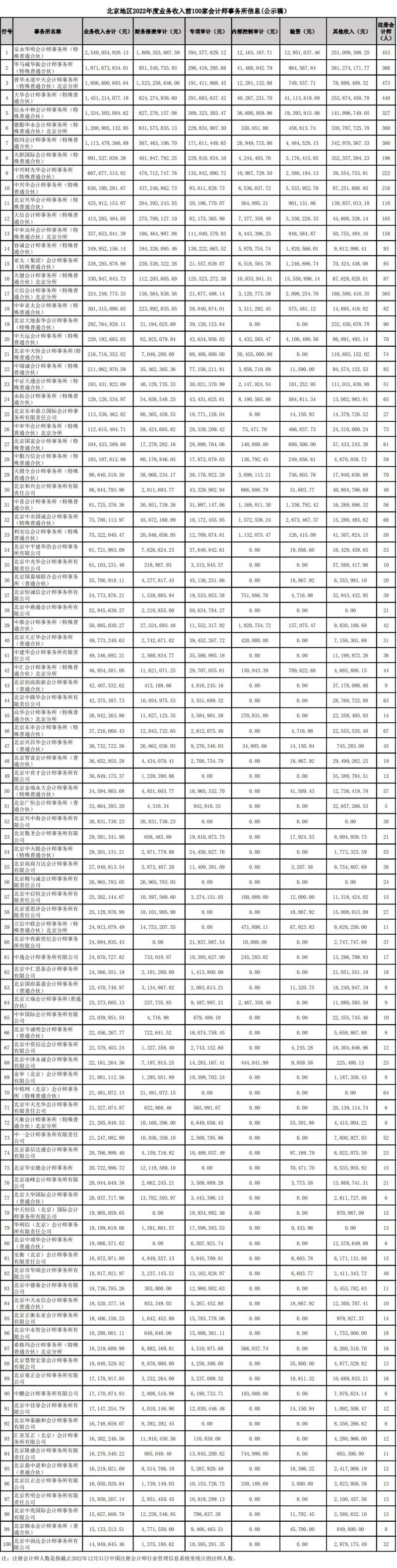
核心提示:北京注协公示北京地区2022年度业务收入前100家会计所信息,收入合计203.9亿元,注会合计6988人。安永华明、毕马威华振、普华永道中天北京、大华、信永中和位列前五。

中国会计视野北京注册会计师协会在官方网站发布《北京地区2022年度业务收入前100家会计师事务所信息(公示稿)》。前100家会计师事务所收入合计203.9亿元,注册会计师合计6988人。安永华明、毕马威华振普华永道中天北京、大华信永中和位列前五。

详细情况如下表:

北京

更多关于 北京 会计所排行 的新闻 关于 北京 会计所排行 的论坛帖子
返回视野资讯首页 >
 
 用户登录
视野周刊订阅 回顾>
 上海国家会计学院最新课程